+180 Kumpulan Kata Kata Motivasi Usaha

+180 Kumpulan Kata Kata Motivasi Usaha

+180 Kumpulan Kata Kata Motivasi Usaha - Di saat ini yang berkembang lebih modern ini buat handphone telah menyebar di pelosok negeri, serta mangsa penjualannya adalah anak-anak hingga dengan orang dewasa. Karena hp android ini tentunya sangat di butuhkan oleh masyarakat, contohnya saja untuk komunikasi telepon, chatting, video call, bisnis online dan lainya. Jika kalian seharian tanpa menggenggam smartphone pastinya akan terasa sesuatu ada yang hilang.

Menggunakan +180 Kumpulan Kata Kata Motivasi Usaha yang sangat cantik buat wallpaper layar smartphone, pastinya Anda akan selalu gembira ketika memakai ponsel, tetapi akan berbeda kalau gambar kata kata cinta hp dengan gambar yang cuma itu–itu saja. Untuk itu yang suatu modifikasi sangat perlu supaya nggak timbul kejenuhan.

+180 Kumpulan Kata Kata Motivasi Usaha

Buat dapat mempercantik tampilan untuk ponsel kita di perlukan bermacam variasi pada gambar ponsel tersebut, seperti gambar keren atau wallpaper serta tampilan buat layar kunci, untuk dapat mengganti gambar tersebut kalian memerlukan +180 Kumpulan Kata Kata Motivasi Usaha, gambar – gambar yang indah atau menarik yang dapat kalian jadikan buat beckground untuk layar smartphone kamu, buat mendapatkan gambar itu kalian tidak usah kebingungan karena saya telah menemukan wallpapernya terbagus serta dapat saya mengumpulkan didalam artikel ini. Buat mengetahui gambar terbagus atau beckground Anda

+180 Kumpulan Kata Kata Motivasi Usaha

RAFFI AKHMAT SEHARUSNYA BIJAK
RAFFI AKHMAT SEHARUSNYA BIJAK via peluangusahawaralabamurah.blogspot.com

Kata Motivasi Hargai Sekecil Usahajpg 10801080 Tulisan Gambar
Kata Motivasi Hargai Sekecil Usahajpg 10801080 Tulisan Gambar via pinterest.com

324 Kata Mutiara Untuk Pelajar Pelajar Pro
324 Kata Mutiara Untuk Pelajar Pelajar Pro via pelajarpro.com

Kata Mutiara Situs Resmi NU Jawa Tengah
Kata Mutiara Situs Resmi NU Jawa Tengah via nujateng.com

Kumpulan Kata Motivasi Level Tinggi
Kumpulan Kata Motivasi Level Tinggi via es.scribd.com

Kata Kata Mutiara Bijak Penuh Motivasi Terbaru 2013 Tempat Dan
Kata Kata Mutiara Bijak Penuh Motivasi Terbaru 2013 Tempat Dan via katabijakzz.blogspot.com

Kata Mutiara Situs Resmi NU Jawa Tengah
Kata Mutiara Situs Resmi NU Jawa Tengah via nujateng.com

Buku Hijrah Bisnis Buku Adalah YouTube
Buku Hijrah Bisnis Buku Adalah YouTube via youtube.com

Kata Kata Mutiara Bijak Penuh Motivasi Terbaru 2013 Tempat Dan
Kata Kata Mutiara Bijak Penuh Motivasi Terbaru 2013 Tempat Dan via katabijakzz.blogspot.com

Kumpulan Gambar Dp Bbm Orang Sirik Kumpulan Gambar Meme Lucu
Kumpulan Gambar Dp Bbm Orang Sirik Kumpulan Gambar Meme Lucu via dpmeme-lucu.blogspot.com

La Tahzan Jangan Bersedih
La Tahzan Jangan Bersedih via slideshare.net

Kata Kata Bijak Motivasi Kehidupan
Kata Kata Bijak Motivasi Kehidupan via hwloverz.blogspot.com

Informasi Informasi Menarik 2014
Informasi Informasi Menarik 2014 via andeslames.blogspot.com

2016 My Blogg 88 Kumpulan Kata Bijak Mutiara Inspirasi Dan
2016 My Blogg 88 Kumpulan Kata Bijak Mutiara Inspirasi Dan via inspirasi-88.blogspot.com

KEWIRAUSAHAAN
KEWIRAUSAHAAN via scribd.com

Dp Bbm Ucapan Pagi Romantis Mainan Oliv
Dp Bbm Ucapan Pagi Romantis Mainan Oliv via mainanoliv.blogspot.com

Kata Kata Bijak
Kata Kata Bijak via es.scribd.com

Kata Kata Bijak Kata2bijak Twitter Kutipan Pinterest
Kata Kata Bijak Kata2bijak Twitter Kutipan Pinterest via pinterest.se

Gambar Kata Kata Cinta Lucu Mario Teguh Stok Gambar Lucu
Gambar Kata Kata Cinta Lucu Mario Teguh Stok Gambar Lucu via stokgambarlucu.blogspot.com

Kata Mutiara Situs Resmi NU Jawa Tengah
Kata Mutiara Situs Resmi NU Jawa Tengah via nujateng.com

Resensi Buku Miskin Tetapi Berani Bermimpi Cerdas Dan Kaya Baca
Resensi Buku Miskin Tetapi Berani Bermimpi Cerdas Dan Kaya Baca via kompasiana.com

Mabuk Motivasi Sisi Buruk Kata Kata Bijak Oleh Nardi Hidayat
Mabuk Motivasi Sisi Buruk Kata Kata Bijak Oleh Nardi Hidayat via kompasiana.com

Social Media Kontenesia
Social Media Kontenesia via kontenesia.com

20 Kata Kata Mutiara Terbaru Hari Ini Kata Kata Mutiara Lintang
20 Kata Kata Mutiara Terbaru Hari Ini Kata Kata Mutiara Lintang via kata-katal4l.blogspot.com

Gambar Kata Kata Cinta Lucu Mario Teguh Stok Gambar Lucu
Gambar Kata Kata Cinta Lucu Mario Teguh Stok Gambar Lucu via stokgambarlucu.blogspot.com

Kata Kata Mutiara Siang Hari Menjelang Sore Hari Master Copas
Kata Kata Mutiara Siang Hari Menjelang Sore Hari Master Copas via plagiatzone.blogspot.com

15 Kata Motivasi Agar Kamu Tidak Menyerah Dalam Hidup Cintai Hidup
15 Kata Motivasi Agar Kamu Tidak Menyerah Dalam Hidup Cintai Hidup via cintaihidup.com

Kata Kata Bijak Motivasi Hidup Dari Berbagai Sumber CERAMAH HIKMAH
Kata Kata Bijak Motivasi Hidup Dari Berbagai Sumber CERAMAH HIKMAH via ceramahhikmah.blogspot.com

250 Kata Kata Mutiara Bijak Motivasi PDF Free Download
250 Kata Kata Mutiara Bijak Motivasi PDF Free Download via anzdoc.com

KATA BIJAK Aisgyfterdotcom
KATA BIJAK Aisgyfterdotcom via aisgyfterdotcom.wordpress.com

KATA BIJAK Aisgyfterdotcom
KATA BIJAK Aisgyfterdotcom via aisgyfterdotcom.wordpress.com

Kata Kata Bijak BOB SADINO
Kata Kata Bijak BOB SADINO via curvetube.com

15 Kata Motivasi Agar Kamu Tidak Menyerah Dalam Hidup Cintai Hidup
15 Kata Motivasi Agar Kamu Tidak Menyerah Dalam Hidup Cintai Hidup via cintaihidup.com

NDM Share
NDM Share via ndmshare.me

Cara Menghadapi Ketakutan Inspirasi Dictio Community
Cara Menghadapi Ketakutan Inspirasi Dictio Community via dictio.id

Bagaimana Cara Yang Paling Tepat Untuk Memotivasi Seorang Pembelajar
Bagaimana Cara Yang Paling Tepat Untuk Memotivasi Seorang Pembelajar via zenius.net

Kutipan Kata Motivasi Kehidupan AGROBISNIS
Kutipan Kata Motivasi Kehidupan AGROBISNIS via agrobisnis12.blogspot.com

Buku Utama Saya Muak Dengan Motivasi Internet
Buku Utama Saya Muak Dengan Motivasi Internet via scribd.com

Cara Hilangkan Kutu Beras Wommy 7 Cara Berkesan Hapuskan Kutu
Cara Hilangkan Kutu Beras Wommy 7 Cara Berkesan Hapuskan Kutu via pinterest.com

Membangun Semangat Belajar Menggapai Prestasi
Membangun Semangat Belajar Menggapai Prestasi via scribd.com

Mengapa Aku Mencintai Kammi By Ilyas Issuu
Mengapa Aku Mencintai Kammi By Ilyas Issuu via issuu.com

KATA BIJAK Aisgyfterdotcom
KATA BIJAK Aisgyfterdotcom via aisgyfterdotcom.wordpress.com

Mutiara Kata Yuari Official Website
Mutiara Kata Yuari Official Website via yuari.wordpress.com

Rinomdns Blog Just Another WordPresscom Weblog
Rinomdns Blog Just Another WordPresscom Weblog via rinomdn.wordpress.com

Kata Kata Bijak Naruto Mymelody13
Kata Kata Bijak Naruto Mymelody13 via mymelody13.blogspot.com

Kerja Berusaha Merubah Jalan Buntu Menjadi Sesuatu
Kerja Berusaha Merubah Jalan Buntu Menjadi Sesuatu via blogs.itb.ac.id

Modul Kewirausahaan Ide Dan Peluang Usaha
Modul Kewirausahaan Ide Dan Peluang Usaha via scribd.com

KATA BIJAK Aisgyfterdotcom
KATA BIJAK Aisgyfterdotcom via aisgyfterdotcom.wordpress.com

Komunikasi Dalam Manajemen
Komunikasi Dalam Manajemen via slideshare.net

Ambil Waktu Sejenak Merenung Setiap Kata Kata Ini Semoga Boleh Buat
Ambil Waktu Sejenak Merenung Setiap Kata Kata Ini Semoga Boleh Buat via irenealia.wordpress.com

Sherlock Holmes Penelusuran Benang Merah
Sherlock Holmes Penelusuran Benang Merah via slideshare.net

Contoh Judul Pkmpdf
Contoh Judul Pkmpdf via id.scribd.com

KATA BIJAK Aisgyfterdotcom
KATA BIJAK Aisgyfterdotcom via aisgyfterdotcom.wordpress.com

Perpustakaan Kementerian Perdagangan
Perpustakaan Kementerian Perdagangan via perpustakaan.kemendag.go.id

Kumpulan Status Facebook Pak Han 2009 2012 Latest Up Dated
Kumpulan Status Facebook Pak Han 2009 2012 Latest Up Dated via es.scribd.com

Skripsi Pengaruh Gaya Kepemimpinan Kepala Sekolah Terhadap
Skripsi Pengaruh Gaya Kepemimpinan Kepala Sekolah Terhadap via scribd.com

PDF Motivasi Dan Prestasi Belajar Siswa Di
PDF Motivasi Dan Prestasi Belajar Siswa Di via researchgate.net

Laporan Kerja Praktek PT Inti Ganda Perdana
Laporan Kerja Praktek PT Inti Ganda Perdana via slideshare.net

Perpustakaan Kementerian Perdagangan
Perpustakaan Kementerian Perdagangan via perpustakaan.kemendag.go.id

Buku Siswa Kelas VII Bahasa Indonesia Edisi Terbaru
Buku Siswa Kelas VII Bahasa Indonesia Edisi Terbaru via scribd.com

Sistem Informasi Laporan Keuangan Koperasi Simpan Pinjam Berstandar
Sistem Informasi Laporan Keuangan Koperasi Simpan Pinjam Berstandar via eprints.akakom.ac.id

Motivasi Perawat Indonesia Untuk Bekerja Ke Jepang
Motivasi Perawat Indonesia Untuk Bekerja Ke Jepang via scribd.com

KATA BIJAK Aisgyfterdotcom
KATA BIJAK Aisgyfterdotcom via aisgyfterdotcom.wordpress.com

Buku Motivasi Bisnis Buatan TKI Berpendidikan Rendah Ini Membuat
Buku Motivasi Bisnis Buatan TKI Berpendidikan Rendah Ini Membuat via kompasiana.com

Buku THE DANISH WAY Jessica Joelle Mizanstore
Buku THE DANISH WAY Jessica Joelle Mizanstore via mizanstore.com

Makalah Etika Bisnis Syariahpdf
Makalah Etika Bisnis Syariahpdf via scribd.com

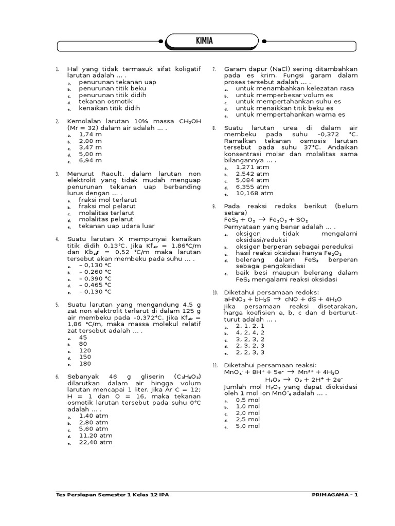
KIMIA 12 IPA
KIMIA 12 IPA via scribd.com

+180 Kumpulan Kata Kata Motivasi Usaha
Itulah pemapara mengenai kumpulan photo kata kata cinta handphone yang kita sampaikan,jika ada kurang lebihnya kami mohon maaf. Diharap postingan di atas supaya membantu kalian buat melakukan +180 Kumpulan Kata Kata Motivasi Usaha terapdate.Kalau ini amat membatu bagi kamu jangan lupa untuk bagikan kepada teman atau saudara. Sampai jumpa kawan.
Baca Juga : +180 Kumpulan Kata Kata Motivasi Usaha
+180 Kumpulan Kata Kata Motivasi Usaha
Jangan lupa simak juga foto terbaru dari kita +180 Kumpulan Kata Kata Motivasi Usaha. Semoga Semua postingan yang Admin berikan berguna untuk Anda semua. Ok, demikianlah berbagai info bermacam kumpulan foto kata kata cinta smartphone yang dapat admin berikan. Diharap artikel ini berguna dan dapat jadi referensi. Sampai jumpa.



Tidak ada komentar:

Posting Komentar

Contact Us

Nama

Email *

Pesan *

Back To Top